肝硬化已成为全球重大健康负担,每年导致超过100万人死于其并发症。据预测,到2030年,肝硬化的患病率将增长超50%以上,其中代谢相关脂肪性肝病和酒精相关性肝病是两大主要致病因素。
性别被视为影响慢性肝病严重程度的重要因素。已有研究表明,女性在丙型肝炎病毒感染后自发清除率高于男性;由病毒性肝炎或代谢功能障碍相关脂肪性肝炎所导致的肝纤维化进展在女性中,尤其是未绝经群体,也较为缓慢。
然而,在肝硬化等终末期肝病阶段,性别对疾病进展的影响尚存争议。部分研究显示男性肝硬化患者的死亡率显著高于女性,但也有报告指出,尽管女性全因死亡率较低,其在不良肝脏事件死亡风险方面与男性并无显著差异。这一争议提示,我们对于不同病因肝硬化中性别特异性风险的认知仍存在空白。
尽管性别是不可改变的风险因素,但了解性别差异对于优化疾病管理、促进健康公平至关重要。为填补这一研究空白,研究人员利用了Merative MarketScan研究数据库(一个涵盖美国50个州、涉及2.5亿美国人的商业医疗索赔数据库),研究了不同性别肝硬化患者发生不良肝脏事件(包括失代偿期肝硬化、肝细胞癌和肝移植)的风险差异并进一步按病因进行亚组评估。结果显示,男性肝硬化患者发生不良肝脏事件的风险整体高于女性,其中肝癌风险更是女性的两倍以上。这种性别差异在非病毒性肝硬化,特别是酒精相关肝病患者中尤为显著。
研究方法本研究为一项回顾性队列研究,数据来源于2007年1月1日至2022年12月31日期间美国全国性保险理赔数据库,最长随访时间达10年。研究纳入所有被诊断为肝硬化的成年患者,采用倾向得分匹配平衡男性和女性患者在年龄、肝病病因、地理区域、酒精使用障碍、肥胖状况、基线失代偿状态和Charson合并症指数评分等方面的差异。
主要研究终点为不良肝脏事件的发生率,包括肝功能失代偿、肝细胞癌和肝移植的发生率,事件定义为自肝硬化初次诊断6个月后发生的相关情况。研究同时依据主要肝病病因进行亚组分析,病因包括乙型肝炎、丙型肝炎、酒精性肝病、代谢功能障碍相关脂肪性肝病及其他病因。
研究结果最终共纳入438 706例肝硬化患者,其中女性216 018例(49.2%),男性222 688例(50.8%),平均年龄为56.8岁(女性:55.9±16.4岁;男性:57.6±14.3岁)。
在倾向评分匹配前,男性患者与女性患者间存在以下特征差异:对比女性患者,男性更多就诊于胃肠/传染病专科医生(36.6% vs. 26.9%)、Charlson合并症指数评分均值略高(4.42±2.47 vs. 4.18±2.37)。病因分布方面,男性更易患乙型肝炎病毒感染(1.7% vs. 0.7%)、丙型肝炎病毒感染(13.9% vs. 7.1%)及酒精相关肝病(26.3% vs. 12.7%),而女性更易患代谢功能障碍相关脂肪性肝病(53.6% vs. 43.4%)、自身免疫性肝病(6.1% vs. 3.1%)及隐源性肝硬化(18.9% vs. 9.8%),(表1)。
表1. 患者基线特征

经过倾向得分匹配后,共得到169 711对性别匹配的患者。性别差异分析显示,男性每1000人其失代偿期肝硬化、肝癌和肝移植的年发病率均显著高于女性(失代偿期肝硬化年发病率:65.77 vs. 55.35,P<0.001;肝癌年发病率:6.98 vs. 3.35,P<0.001;肝移植年发病率:10.23 vs. 6.27,P<0.001))。失代偿期肝硬化、肝癌和肝移植的10年累积发病率同样显示男性更高。Cox回归分析进一步证实,与女性肝硬化患者相比,男性肝硬化患者发生失代偿期肝硬化风险增加16%(HR=1.16,P<0.001)、肝细胞癌风险增加110%(HR=2.10,P<0.001)以及接受肝移植(HR=1.63,P<0.001)的风险增加63%,(表2)。
表2. 整体研究队列中性别与不良肝脏事件之间的关联

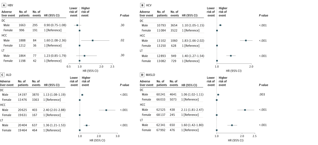
亚组分析显示,按主要肝脏病因(乙型肝炎病毒、丙型肝炎病毒、酒精性肝病和代谢相关脂肪性肝病进行分层分析发现,在除乙型肝炎病毒以外的所有亚组中,男性每1000人其失代偿期肝硬化、肝细胞癌和肝移植的年发病率均高于女性。其中,酒精相关性疾病导致的性别差异最为显著,男性患者发生失代偿期肝硬化(风险比为1.13,P<0.001)、肝细胞癌(风险比为2.40,P<0.001)以及接受肝移植(风险比为1.36,P<0.001)的风险均更高;其次是代谢功能障碍相关脂肪性肝病和丙型肝炎病毒感染。在乙型肝炎患者中,性别差异仅在肝细胞癌方面表现显著,男性患者风险更高(风险比为1.60,P=0.02),(图1)。

图1. 乙型肝炎病毒、丙型肝炎病毒、酒精相关性肝病及代谢功能障碍相关脂肪性肝病所致肝硬化患者中性别与不良肝脏事件的关联
研究结论本研究结果表明,在肝硬化患者中,男性相较于女性有更高的不良肝脏事件风险,尤其是在非病毒性肝病(如酒精相关肝病和代谢功能障碍相关脂肪性肝病)中性别差异更为显著。研究建议未来的疾病监测、预防和治疗指南应考虑性别差异,以优化肝硬化的管理策略。
小结这项队列研究的结果,进一步揭示了不同性别在肝硬化临床结局方面存在的差异。关键发现表明,男性患者发生肝脏不良事件的风险高于女性,尤其是肝细胞癌的风险。这一性别相关的风险差异在非病毒性肝硬化患者中较病毒性肝硬化患者更为突出。
随着代谢相关脂肪性肝病和酒精性肝病逐渐成为高收入国家肝硬化的主要病因,并且其全球发病率持续攀升,未来的肝硬化管理策略(尤其是肝癌监测)应充分考虑性别差异。本研究结果支持将性别作为肝硬化相关并发症风险分层的变量。
值得注意的是,当前肝癌监测的依从性普遍较低。数据显示,在美国参保私人医保的肝硬化患者中,仅约10%能够按照指南建议每6~12个月接受一次腹部影像学检查。鉴于男性患者的肝癌发生风险更高,建议针对该类人群及其临床医生开展定向健康教育,以提高监测依从性和早期诊断率。
此外,本研究结论尚需更多前瞻性研究予以验证,尤其是引入MELD-Na等实验室指标进行多维度分析。同时,进一步探索导致性别差异的可调控因素,如用药依从性、生活习惯和社会行为差异等,也将为未来制定针对性干预措施提供理论依据。
参考文献:Shi Y, et al. JAMA Netw Open. 2025;8(7):e2523674.