发表时间:2026-03-07 13:40:37
编者按
开展CRC筛查策略的获益与风险评估,对指导结直肠癌(CRC)及癌前病变的早期发现与临床干预具有关键意义。当前国际指南普遍推荐对50~75岁人群进行CRC筛查,主要手段包括结肠镜和粪便免疫化学检测(FIT)。为系统比较不同筛查方式的获益与安全性,瑞典开展了SCREESCO随机对照试验,该试验设立了初次结肠镜检查组、低阈值FIT组以及未受邀筛查的对照组,为在真实医疗环境中评价筛查策略提供了重要平台。
本研究基于SCREESCO试验数据,整合瑞典全国医疗登记系统信息,旨在分析在诊断阶段(2014~2020年),结肠镜与FIT筛查相较于常规对照对CRC检出率——尤其是早期(Ⅰ~Ⅱ期)CRC检出率的影响。同时,研究也评估了筛查可能带来的危害,包括心血管与胃肠道事件发生率的总体上升以及诊断阶段内短期全因死亡率的增加情况。该研究成果近期发表于Nature Medicine杂志,以下将对其研究设计与主要发现进行详细介绍。

研究设计
研究采用随机区组设计(非盲法),将278 280名60岁及以上受试者随机分配至单次结肠镜检查组、两轮低阈值(10 μg/g粪便)的两次粪便FIT检测组或对照组。结肠镜检查组与对照组的比例为1:6,FIT检测组与对照组的比例为1:2。在分析中,31 113名受试者被纳入初次结肠镜检查组,60 267名受试者被纳入FIT组;另有186 671名受试者作为初次结肠镜检查对照组,其中120 521名受试者也作为对照组与FIT组进行比较。
研究结果
与对照组相比,干预组的Ⅰ~Ⅱ期CRC发生率更高
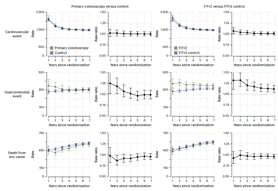
在诊断阶段,初次结肠镜检查组的CRC发病率为107.9/10万人年(160例/148 337人年),对照组为99.9/10万人年(889例/889 774人年)(发病率比[IRR]:1.08,95%CI:0.91~1.28);FIT×2组的CRC发病率为96.0/10万人年(330例/343 703人年),其对照组为103.9/10万人年(715例/687 048人年)(IRR:0.92,95%CI:0.81~1.05)(表1)。如图1所示,与各自对照组相比,两个干预组的发病率和IRR均在随机分组后第一年左右达到峰值。随访结束时,各组的CRC累积发病率分别为:初次结肠镜检查组0.69%(95%CI:0.66~0.71%),对照组0.72%(95%CI:0.71~0.73%),FIT×2组0.61%(95%CI:0.60~0.63%),FIT×2对照组0.73%(95%CI:0.72~0.75%)。
表1. 诊断阶段确诊CRC患者的发病率(每10万人年)


图1. CRC发病率以初次结肠镜检查组和FIT×2组为参照,比较其对照组的CRC年发病率(每10万人年)及各分期CRC的IRR。CRC病例包括筛查发现者及在SCREESCO研究之外、于常规医疗机构中诊断的病例。垂直线表示95%CI。
初次结肠镜检查组中,诊断出的Ⅰ~Ⅱ期CRC发病率为58.7/10万人年,而对照组为42.5/10万人年(IRR:1.38,95%CI:1.09~1.74)(表1和图1)。同样,FIT×2组的发病率为52.7/10万人年,而其对照组为44.4/10万人年(IRR:1.19,95%CI:0.99~1.43)。在大多数观察时间点,干预组的累积发病率均高于对照组。
初次结肠镜检查组诊断出的Ⅲ~Ⅳ期CRC发生率略低于对照组(IRR:0.86,95%CI:0.67~1.11),FIT×2组亦低于其对照组(IRR:0.71,95%CI:0.58~0.86)(表1和图1)。干预组的累积发病率最初与对照组相似,但在随机分组约4年后开始低于对照组。
在初次结肠镜检查组和FIT×2组中诊断出的CRC病例中,分别有32%和38%是通过筛查发现的。在这两个干预组中,接受过筛查性结肠镜检查的个体,后续在试验外被诊断为CRC的病例极少(分别为9例[0.03%]和8例[0.01%])。试验先前报告的170例CRC病例中,有2例在查阅病历后被判定为非CRC。经病历复核,试验中又发现了9例类似的CRC病例。在试验诊断的177例CRC病例中,除2例外,其余均已登记于瑞典结直肠癌登记处或瑞典癌症登记处。这些病例中,3例(1.7%)存在分期不一致,9例(5.1%)分期信息缺失。
与女性相比,男性在FIT×2组中的CRC发病率更高(男性IRR/女性IRR:1.29,95%CI:0.99~1.67),尤其在两个干预组中,男性Ⅲ~Ⅳ期CRC的发病率更高。
干预组第一年心血管和胃肠道事件发生率略高,提示筛查初期存在一定危害
中期不良事件:在随访的第一年,干预组的胃肠道或心血管事件发生率略高于对照组,但随后两组的发生率趋于相似(图2)。随访结束时,各组的心血管事件总发生率相似:初次结肠镜检查组和对照组均为1 475.8/10万人年(IRR:1.00,95%CI:0.96~1.05);但FIT×2组的静脉血栓栓塞(VTE)发生率为60.1/10万人年,其对照组为43.3/10万人年(IRR:1.39,95%CI:1.16~1.66)(表2)。随访结束时,FIT×2组的胃肠道事件发生率也略高于对照组,主要包括医源性出血(IRR:1.18,95%CI:1.05~1.32)和未特指的胃肠道出血(IRR:1.14,95%CI:1.04~1.26)。
此前已证实,试验期间与筛查性结肠镜检查直接相关的严重不良事件发生率为0.2%,其中包括2例肠穿孔和15例大出血。

图2. 不良事件发生率以初次结肠镜检查组和FIT×2组为参照,计算其对照组的死亡、胃肠道事件和心血管事件的年发病率(每10万人年)及IRR。垂直线表示95%CI。
任何原因导致的死亡:各组的全因死亡率相似。初次结肠镜检查组为554.6/10万人年(825例死亡),对照组为579.0/10万人年(5 163例死亡)(IRR:0.96,95%CI:0.89~1.03);FIT×2组为577.1/10万人年(1 989例死亡),其对照组为601.8/10万人年(4 145例死亡)(IRR:0.96,95%CI:0.91~1.01)(表2和图2)。此前曾报道FIT组有一例死亡病例,发生于结肠镜检查后第15天,死者为一名患有转移性癌症的男性,死因是肺栓塞。
表2. 诊断阶段发生死亡或胃肠道/心血管事件的个体发生率(每10万人年)

研究结论
采用低阈值进行两轮FIT或初次结肠镜检查的筛查方案,比不筛查能检出更多早期CRC。第一年胃肠道或心血管事件的发生率较高,之后与对照组较为接近。CRC检出率的提高体现了筛查的获益,而不良事件的增加则提示筛查初期可能存在一定的危害。SCREESCO研究的后续随访将报告CRC死亡率。
讨论
除SCREESCO试验外,目前仅有的两项同时采用结肠镜和FIT的随机对照试验,分别是西班牙的COLONPREV试验和美国的CONFIRM试验,这两项试验均未设置对照组。SCREESCO试验比较了FIT筛查与对照组的筛查效果。COLONPREV和CONFIRM试验的FIT组均使用单份粪便样本,且检测阈值更高,而SCREESCO试验则使用两份粪便样本。CONFIRM试验的受试者主要来自退伍军人事务医疗中心,其中男性占多数。
在本研究中,与对照组相比,两个干预组的Ⅰ~Ⅱ期癌症发生率均较高,尤其是在随访的最初几年,因为大部分筛查性结肠镜检查都集中在这一时期。这种超额风险随时间推移而降低,Ⅲ~Ⅳ期癌症的发生率在大约4年后也同时下降,尤其在FIT组中,其下降幅度低于对照组。结合腺瘤的检测和切除,本研究结果表明,在SCREESCO的后续随访中(计划随访至2030年12月31日),干预组的CRC发病率和CRC死亡率未来可能会降低。
此前已证实,在SCREESCO研究中,与筛查性结肠镜检查直接相关的严重不良事件发生率较低,与其他研究结果一致。本研究表明,在常规临床环境中,受邀接受结肠镜筛查的个体与未受邀接受常规筛查的个体相比,结肠镜检查在死亡、胃肠道事件或心血管事件方面的潜在危害总体相似。与初次结肠镜检查组相比,接受FIT×2筛查的个体更常出现需要治疗干预的癌前病变;因此,胃肠道事件(如出血)风险略有增加是预期的。FIT×2组的VTE发生率也高于对照组,推测可能是因为抗凝药物使用者FIT检测呈阳性的风险更高,并且可能在结肠镜检查期间暂停治疗。我们尚未发现其他研究在意向治疗(ITT)分析水平上,比较初次结肠镜检查或FIT继以结肠镜与未常规筛查在胃肠道或心血管事件发生率方面的差异。本研究结果为进一步开展关于治疗干预及药物使用相关并发症的研究提供了依据。
参考文献:Westerberg M, et al. Nat Med. 2026 Feb 20.