编者按Ⅲ期结肠癌的标准治疗方案是手术切除后行辅助化疗,通常采用3或6个月的CAPOX或FOLFOX方案。当前辅助治疗决策主要依据TNM分期进行风险分层,然而,该分层标准相对宽泛,无法充分反映患者预后的异质性。循环肿瘤DNA(ctDNA)检测为识别术后微小残留病灶(MRD)、实现更精准的复发风险评估提供了新的途径。相较于基于肿瘤组织的检测方法,无需组织样本的ctDNA检测在操作上更具优势,包括避免组织获取的负担、缩短检测周转时间,尤其适用于肿瘤组织标本有限或不可及的情况。然而,目前仍缺乏长期随访的大型研究,系统评估此类检测方法的预后价值。
为此,本研究基于一项Ⅲ期结肠癌辅助化疗的随机对照试验队列,系统评估了无需组织样本的ctDNA检测的预后意义。研究旨在分析术后ctDNA检出状态与患者临床病理特征及长期生存结局之间的关联,以期为完善术后个体化复发风险分层提供依据。该研究结果近期发表于Journal of Clinical Oncology杂志,本文将对研究设计与主要发现进行详细阐述。
研究设计NCCTG N0147(Alliance)是一项Ⅲ期临床试验,该试验共纳入3084例Ⅲ期结肠癌患者,并按1:1比例随机分配至FOLFOX单药治疗组(n=1402)或FOLFOX联合西妥昔单抗治疗组(n=1350),治疗周期均为12个周期(对应6个月)。研究方案要求在术后10周内、辅助化疗开始前采集血液样本用于相关生物标志物分析。最终,共有2260例患者的样本可用于ctDNA检测。通过校正协变量的多变量Cox比例风险模型,评估ctDNA与无病生存期(DFS)、至复发时间(TTR)和总生存期(OS)之间的相关性。
研究结果2260例接受术后ctDNA检测的患者结局与N0147队列总体结局相似。血浆样本于术后平均42天(±7天)、辅助化疗前采集。共有461例患者(20.4%)检出ctDNA阳性,其中错配修复正常(pMMR)者397例(89.0%),错配修复缺陷(dMMR)者49例(11.0%)。ctDNA阳性率在不同临床病理特征中存在显著差异:肠穿孔患者中最高(36.8%),T1-2期肿瘤患者中最低(9.1%)。此外,T4期肿瘤阳性率为31.0%,N2淋巴结转移为31.6%,高级别肿瘤为24.4%,BRAFV600E突变型肿瘤为25.7%。与ctDNA阴性患者相比,阳性患者的淋巴结转移数目中位数显著更高(中位数5.0[1.0~31.0] vs. 2.0[0.0~32.0];P<0.0001)。
术后ctDNA检测与患者预后不良显著相关中位随访时间为6.1年,ctDNA阳性与DFS(HR=5.03;95%CI:4.36~5.81)、OS(HR=4.45;95%CI:3.76~5.27)和TTR(HR=5.96;95%CI:5.11~6.96)缩短独立相关(所有P< 0.0001)(图1)。ctDNA阳性与阴性患者的5年DFS率分别为27.7% vs. 77.1%;5年OS率分别为50.4% vs. 86.8%。多变量分析显示,ctDNA阳性仍与不良结局显著相关(表1)。



图1. 根据术后ctDNA状态,对接受FOLFOX辅助化疗的Ⅲ期结肠癌患者进行分析,评估其5年DFS(A)、OS(B)和TTR(C)。
表1. 多变量分析比较了基于术后ctDNA状态(阳性 vs. 阴性)的患者临床结局,并根据肿瘤分数(TF)值进一步对ctDNA阳性病例进行分层。

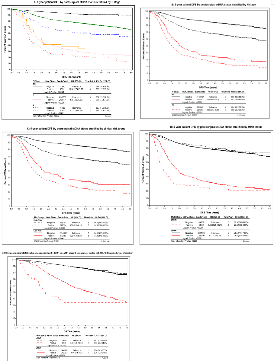
在T1/2、T3及T4期肿瘤中,ctDNA阳性患者较阴性患者的DFS显著更差(图2A);类似趋势亦见于N1与N2淋巴结分期(图2B)、低危与高危临床风险组(图2C),以及dMMR与pMMR的肿瘤亚组(图2D)。在ctDNA阳性患者中,dMMR型肿瘤患者的5年OS率(34.6%)显著低于pMMR型肿瘤患者(52.6%)(P=0.022)(图2E)。此外,在ctDNA阳性患者中,女性患者的DFS较男性患者更差(校正后交互作用P=0.039)(图3)。在对多个协变量进行校正后,上述各亚组间的差异仍保持统计学显著性。分析进一步表明,ctDNA检测状态与T分期、N分期、临床风险组及MMR状态在DFS、TTR和OS方面均存在显著的交互作用;其中,针对MMR状态的交互作用P值分别为0.024、0.002和0.022。值得注意的是,ctDNA阳性与较差DFS之间的关联在所有预设亚组中均具有统计学显著性(所有P<0.0001)(图3)。

图2. 根据术后ctDNA状态分层,分析5年患者DFS,分层因素包括:(A)T分期,(B)N分期,(C)临床风险组,以及(D)MMR状态。(E)根据术后ctDNA状态,分析接受FOLFOX方案辅助化疗的dMMR与pMMR Ⅲ期结肠癌患者的OS。

图3. 森林图展示了多个患者亚组中ctDNA阳性与阴性患者的DFS HR及其95%CI。所有亚组均显示出统计学显著性关联(所有P<0.0001)。经Bonferroni校正以控制多重比较后,所有亚组分析结果仍具有统计学意义(P<0.0015)。
表观遗传TF增强ctDNA的预后预测能力将表观遗传TF作为MRD的定量评估指标,并分析了其在461例ctDNA阳性病例中的分布情况,其中位TF为0.0011(IQR,0.0004~0.0049)。dMMR患者的中位原始TF高于pMMR患者(0.0024 vs. 0.0010,P=0.0085)。研究发现,与未复发的患者相比,复发或死亡患者的中位TF高出近两倍(中位数约0.0016 vs. 0.0008;约增加2倍;P=0.0002)。单变量分析显示,二分类的TF可有效对患者的DFS、TTR和OS进行分层(所有P<0.0002)。在ctDNA阳性患者中,相较于TF低于中位值的患者,TF高于中位值的患者具有更短的TTR,且5年DFS率更低(22.1% vs. 33.4%;HR=1.56,95%CI:1.26~1.93,P<0.0001)。在校正了包括MMR状态、KRAS及BRAFV600E突变状态在内的多个协变量后,ctDNA TF高于中位值的患者的TTR、DFS及OS结局依然显著更差(所有P值均<0.002)(表1)。
ctDNA状态与肿瘤复发部位与ctDNA阴性患者相比,ctDNA阳性患者肝脏复发更常见(31.9% vs. 12.9%),而肺部及局部区域复发率则相对较低。相比之下,在发生复发的患者中,ctDNA阴性者出现局部区域复发(包括腹膜转移)的比例高于ctDNA阳性者(34.6% vs. 20.3%)。进一步分析显示,与低TF患者相比,高TF患者肝脏复发比例更高,而肺部复发比例更低。
研究结论综上所述,ctDNA状态是Ⅲ期结肠癌一个强有力的独立预后生物标志物,能够显著优化现有TNM分期系统的风险分层效能。本研究数据表明,仅依据传统的临床风险组(低危/高危)来指导辅助化疗决策存在局限,术后ctDNA检测应被整合至Ⅲ期结肠癌的常规分期评估体系中,以提供更为精准的预后判断。此外,定量ctDNA TF可进一步实现预后的精细化分层,这提示有必要进一步探索其临床应用价值。基于ctDNA在复发与死亡风险评估方面的优化作用,其结果有望影响后续影像学监测策略的制定、辅助治疗强度的调整以及临床试验入组人群的精准筛选。
讨论本研究是评估无需组织样本ctDNA检测在Ⅲ期结肠癌中应用的最大规模研究之一。结果表明,该检测方法能有效识别术后MRD,其阳性率(20.4%)与基于肿瘤组织的检测方法相当。ctDNA阳性是不良预后的强有力预测因子,其预后价值在所有临床亚组中均得到证实,尤其能有效甄别出传统分期认为低危但实际复发风险较高的患者。
值得注意的是,尽管所有患者均接受了标准辅助化疗,约70%的术后ctDNA阳性患者仍出现复发,提示现有化疗方案对该人群疗效有限。同时,定量TF和高危分子特征(如dMMR)可进一步识别出预后极差的亚组。这为探索新的治疗策略(例如,在dMMR患者中使用免疫检查点抑制剂)提供了重要依据。已有多项临床试验探索基于ctDNA的辅助治疗决策。对于ctDNA阳性患者,标准辅助化疗可能不足,需要强化治疗;而对于ctDNA阴性患者,则可能考虑降阶梯治疗。
综上所述,本研究支持将无需组织样本的ctDNA检测作为Ⅲ期结肠癌术后风险分层的重要工具,有助于推动辅助治疗的个体化决策。
参考文献:Sinicrope FA, et al. J Clin Oncol. 2026 Jan 30:JCO2502086.